Práctica 5 Supuestos de regresión lineal

Metodología I - Magíster en Ciencias Sociales

Fecha de publicación

23 de junio de 2023

Presentación

La siguiente práctica tiene el objetivo de introducir en los supuestos y robustez del modelo de regresión. Por esta razón, volveremos a algunos de los contenidos previos relacionados con la estimación, análisis de residuos y ajuste. Para ello, utilizaremos la base de datos de la tercera ola del Estudio Longitudinal Social del Chile 2018 con el objetivo de analizar los determinantes de la Participación Ciudadana.

La versión original de este ejercicio proviene del curso de Estadística multivariada versión 2022.

Librerías

pacman::p_load(dplyr, summarytools, sjPlot,texreg, corrplot,ggplot2,ggfortify,sandwich,lmtest,sjlabelled)

Datos

El Estudio Longitudinal Social del Chile ELSOC, único en Chile y América Latina, consiste en encuestar a casi 3.000 chilenos, anualmente, a lo largo de una década. ELSOC ha sido diseñado para evaluar la manera cómo piensan, sienten y se comportan los chilenos en torno a un conjunto de temas referidos al conflicto y la cohesión social en Chile. La población objetivo son hombres y mujeres entre 15 y 75 años de edad con un alcance nacional, donde se obtuvo una muestra final de 3748 casos en el año 2018.

load("../files/data/elsoc.RData")
#Cargamos la base de datos desde internet
load(url("https://github.com/Kevin-carrasco/metod1-MCS/raw/main/files/data/elsoc.RData"))

Explorar datos

A partir de la siguiente tabla se obtienen estadísticos descriptivos que luego serán relevantes para realizar las transformaciones y análisis posteriores.

view(dfSummary(elsoc, headings = FALSE, method = "render"))
No Variable Label Stats / Values Freqs (% of Valid) Graph Valid Missing
1 sexo [numeric] Sexo entrevistado
Min : 0
Mean : 0.6
Max : 1
0 : 1446 ( 38.6% )
1 : 2302 ( 61.4% )
3748 (100.0%) 0 (0.0%)
2 edad [numeric] Edad entrevistado
Mean (sd) : 47.1 (15.5)
min ≤ med ≤ max:
18 ≤ 47 ≤ 90
IQR (CV) : 25 (0.3)
70 distinct values 3748 (100.0%) 0 (0.0%)
3 educ [factor] Nivel educacional
1. 1
2. 2
3. 3
4. 4
5. 5
450 ( 12.0% )
370 ( 9.9% )
1600 ( 42.7% )
598 ( 16.0% )
725 ( 19.4% )
3743 (99.9%) 5 (0.1%)
4 pospol [factor] Autoubicacion escala izquierda-derecha
1. 1
2. 2
3. 3
4. 4
807 ( 22.0% )
952 ( 26.0% )
734 ( 20.0% )
1171 ( 32.0% )
3664 (97.8%) 84 (2.2%)
5 part01 [numeric] Frecuencia: Firma carta o peticion apoyando causa
Mean (sd) : 1.5 (0.9)
min ≤ med ≤ max:
1 ≤ 1 ≤ 5
IQR (CV) : 1 (0.6)
1 : 2717 ( 72.6% )
2 : 476 ( 12.7% )
3 : 411 ( 11.0% )
4 : 117 ( 3.1% )
5 : 21 ( 0.6% )
3742 (99.8%) 6 (0.2%)
6 part02 [numeric] Frecuencia: Asiste a marcha o manifestacion pacifica
Mean (sd) : 1.2 (0.6)
min ≤ med ≤ max:
1 ≤ 1 ≤ 5
IQR (CV) : 0 (0.5)
1 : 3289 ( 87.8% )
2 : 195 ( 5.2% )
3 : 191 ( 5.1% )
4 : 51 ( 1.4% )
5 : 19 ( 0.5% )
3745 (99.9%) 3 (0.1%)
7 part03 [numeric] Frecuencia: Participa en huelga
Mean (sd) : 1.2 (0.5)
min ≤ med ≤ max:
1 ≤ 1 ≤ 5
IQR (CV) : 0 (0.5)
1 : 3407 ( 91.0% )
2 : 152 ( 4.1% )
3 : 146 ( 3.9% )
4 : 29 ( 0.8% )
5 : 11 ( 0.3% )
3745 (99.9%) 3 (0.1%)
8 part04 [numeric] Frecuencia: Usa redes sociales para opinar en temas publicos
Mean (sd) : 1.6 (1.1)
min ≤ med ≤ max:
1 ≤ 1 ≤ 5
IQR (CV) : 1 (0.7)
1 : 2598 ( 69.4% )
2 : 310 ( 8.3% )
3 : 514 ( 13.7% )
4 : 223 ( 6.0% )
5 : 98 ( 2.6% )
3743 (99.9%) 5 (0.1%)
9 quintilemiss [factor]
1. Quintil 1
2. Quintil 2
3. Quintil 3
4. Quintil 4
5. Quintil 5
6. Missing
711 ( 19.0% )
711 ( 19.0% )
710 ( 18.9% )
710 ( 18.9% )
710 ( 18.9% )
196 ( 5.2% )
3748 (100.0%) 0 (0.0%)

Generated by summarytools 1.0.1 (R version 4.3.2)
2024-07-11

view_df(elsoc,max.len = 50)
Data frame: elsoc
ID Name Label Values Value Labels
1 sexo Sexo entrevistado 0
1
Hombre
Mujer
2 edad Edad entrevistado range: 18-90
3 educ Nivel educacional 1
2
3
4
5
Primaria incompleta menos
Primaria y secundaria baja
Secundaria alta
Terciaria ciclo corto
Terciaria y Postgrado
4 pospol Autoubicacion escala izquierda-derecha 1
2
3
4
Derecha
Centro
Izquierda
Indep./Ninguno
5 part01 Frecuencia: Firma carta o peticion apoyando causa 1
2
3
4
5
Nunca
Casi nunca
A veces
Frecuentemente
Muy frecuentemente
6 part02 Frecuencia: Asiste a mbackground-color:#eeeeeeha o manifestacion
pacifica
1
2
3
4
5
Nunca
Casi nunca
A veces
Frecuentemente
Muy frecuentemente
7 part03 Frecuencia: Participa en huelga 1
2
3
4
5
Nunca
Casi nunca
A veces
Frecuentemente
Muy frecuentemente
8 part04 Frecuencia: Usa redes sociales para opinar en
temas publicos
1
2
3
4
5
Nunca
Casi nunca
A veces
Frecuentemente
Muy frecuentemente
9 quintilemiss Quintil 1
Quintil 2
Quintil 3
Quintil 4
Quintil 5
Missing
elsoc <- elsoc %>% mutate(partpol=rowSums(select(., part01,part02,part03,part04)))

Estimación

fit01 <- lm(partpol ~ sexo, data=elsoc)
fit02 <- lm(partpol ~ sexo + edad, data=elsoc)
fit03 <- lm(partpol ~ sexo + edad + quintilemiss, data=elsoc)
fit04 <- lm(partpol ~ sexo + edad + quintilemiss + pospol, data=elsoc)
labs01 <- c("Intercepto","Sexo (mujer=1)","Edad",
            "Quintil 2","Quintil 3","Quintil 4","Quintil 5","Quintil perdido",
            "Centro (ref. derecha)","Izquierda","Idep./Ninguno")
htmlreg(list(fit01,fit02,fit03, fit04),doctype = FALSE, 
        custom.model.names = c("Modelo 1","Modelo 2","Modelo 3", "Modelo 4"),
        custom.coef.names = labs01)
Statistical models
  Modelo 1 Modelo 2 Modelo 3 Modelo 4
Intercepto 5.56*** 7.62*** 7.03*** 7.97***
  (0.06) (0.12) (0.15) (0.16)
Sexo (mujer=1) -0.13 -0.08 0.07 0.12
  (0.08) (0.07) (0.07) (0.07)
Edad   -0.04*** -0.04*** -0.04***
    (0.00) (0.00) (0.00)
Quintil 2     0.23* 0.21
      (0.12) (0.11)
Quintil 3     0.51*** 0.51***
      (0.12) (0.11)
Quintil 4     0.56*** 0.50***
      (0.12) (0.11)
Quintil 5     1.02*** 0.88***
      (0.12) (0.12)
Quintil perdido     0.51** 0.59***
      (0.18) (0.18)
Centro (ref. derecha)       -1.04***
        (0.10)
Izquierda       -1.13***
        (0.11)
Idep./Ninguno       -1.60***
        (0.10)
R2 0.00 0.09 0.11 0.17
Adj. R2 0.00 0.09 0.11 0.17
Num. obs. 3740 3740 3740 3656
***p < 0.001; **p < 0.01; *p < 0.05

Diágnosticos

Casos influyentes

Para determinar si un outlier es un caso influyente, es decir que su presencia/ausencia genera un cambio importante en la estimación de los coeficientes de regresión, calculamos la Distancia de Cook..

Posteriormente, se establece un punto de corte de \(4/(n-k-1)\):

n<- nobs(fit04) #n de observaciones
k<- length(coef(fit04)) # n de parametros
dcook<- 4/(n-k-1) #punt de corte

Si lo graficamos se ve de la siguiente manera:

final <- broom::augment_columns(fit04,data = elsoc)
final$id <- as.numeric(row.names(final))
# identify obs with Cook's D above cutoff
ggplot(final, aes(id, .cooksd)) +
  geom_bar(stat="identity", position="identity") +
  xlab("Obs. Number")+ # Modificación nombre eje x
  ylab("Cook's distance")+ # Modificación nombre eje y
  geom_hline(yintercept=dcook)+ # Incluir una línea horizontal
  geom_text(aes(label=ifelse((.cooksd>dcook),id,"")), # geom text agrega nombre a los casos, en esta oportunidad solo a los valores mayores a dcook
            vjust=-0.2, hjust=0.5)

Identificamos los casos influyentes y filtramos la base de datos:

ident<- final %>% filter(.cooksd>dcook)
elsoc02 <- final %>% filter(!(id %in% ident$id))

Estimación sin casos influyentes:

fit05<- lm(partpol~sexo+edad+quintilemiss+pospol,data=elsoc02)
labs02 <- c("Intercepto","Sexo (mujer=1)","Edad",
            "Quintil 2","Quintil 3","Quintil 4","Quintil 5","Quintil perdido",
            "Izquierda (ref. derecha)","Centro","Idep./Ninguno")

htmlreg(list(fit04,fit05), 
        doctype = FALSE,
        custom.model.names = c("Modelo 4", "Modelo 5"),
        custom.coef.names = labs02)
Statistical models
  Modelo 4 Modelo 5
Intercepto 7.97*** 7.05***
  (0.16) (0.11)
Sexo (mujer=1) 0.12 0.07
  (0.07) (0.05)
Edad -0.04*** -0.03***
  (0.00) (0.00)
Quintil 2 0.21 0.11
  (0.11) (0.08)
Quintil 3 0.51*** 0.34***
  (0.11) (0.08)
Quintil 4 0.50*** 0.32***
  (0.11) (0.08)
Quintil 5 0.88*** 0.57***
  (0.12) (0.08)
Quintil perdido 0.59*** 0.31*
  (0.18) (0.13)
Izquierda (ref. derecha) -1.04*** -0.65***
  (0.10) (0.07)
Centro -1.13*** -0.71***
  (0.11) (0.08)
Idep./Ninguno -1.60*** -1.14***
  (0.10) (0.07)
R2 0.17 0.18
Adj. R2 0.17 0.18
Num. obs. 3656 3460
***p < 0.001; **p < 0.01; *p < 0.05

En términos generales, el sentido y significación estadística de los coeficientes del Modelo 5 se mantiene respecto al Modelo 4. Adicionalmente, si observamos que el modelo sin casos influyentes presenta una mejora en ajuste. Por lo tanto, los análisis posteriores se realizaran en base a este modelo.

Linealidad

Para analizar la linealidad respecto de un modelo de regresión, debemos analizar la distribución de los residuos con respecto a la recta de regresión.

  • Los residuos deben ser independientes de los valores predichos (fitted values).
  • Cualquier correlación entre residuo y valores predichos violarían este supuesto.
  • La presencia de un patrón no lineal, es señal de que el modelo está especificado incorrectamente.
ggplot(fit05, aes(.fitted, .resid)) +
  geom_point() +
  geom_hline(yintercept = 0) +
  geom_smooth(se = TRUE)
`geom_smooth()` using method = 'gam' and formula = 'y ~ s(x, bs = "cs")'

Relación entre residuos y valores predichos

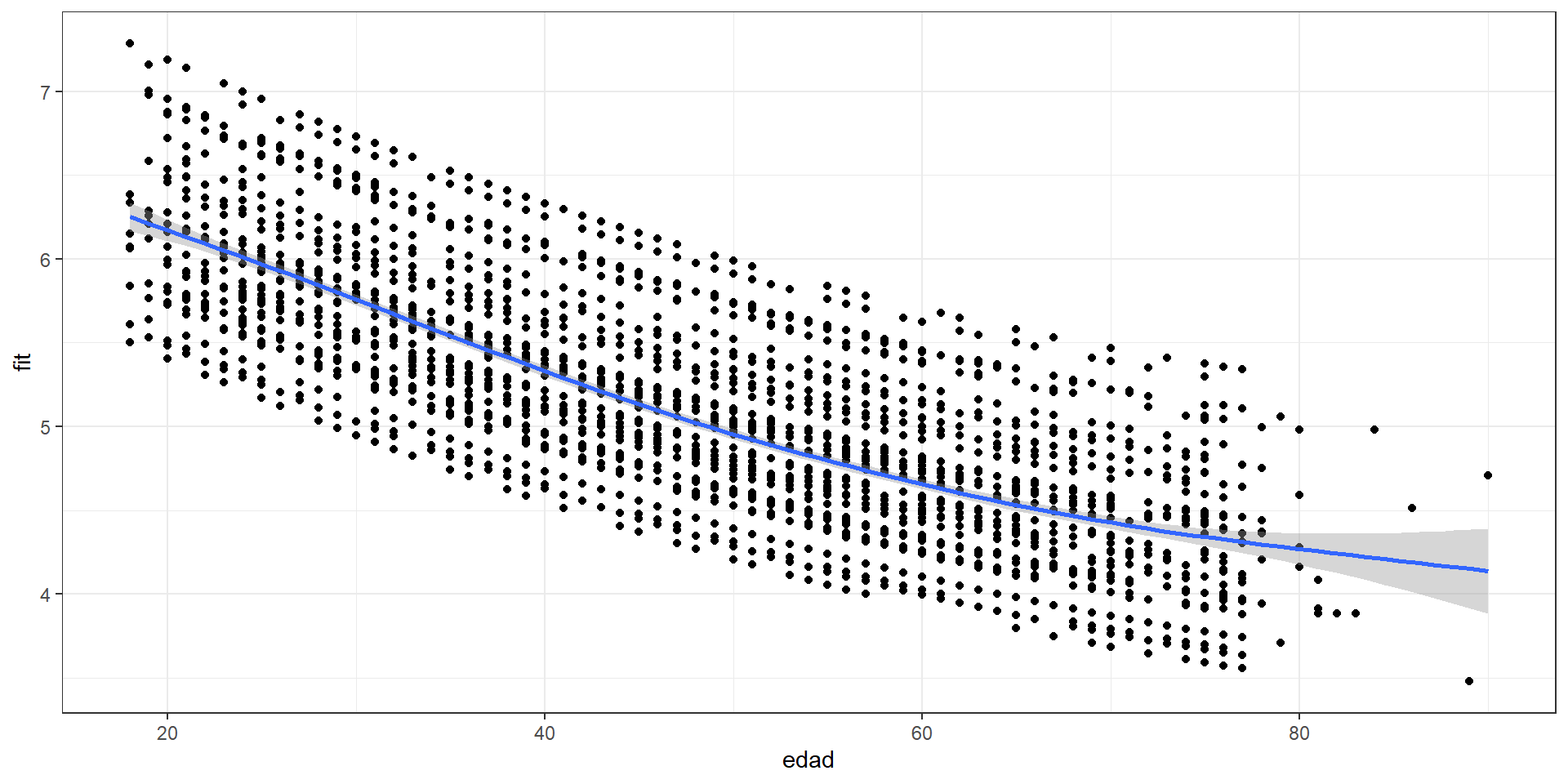
El gráfico nos indica que existe un patrón en la distribución de los residuos. Para intentar mejorar la estimación podemos realizar una transformación de variables. A continuación presentaremos un ejemplo para la Edad y para los Ingresos.

  • Polinomio: \(\text{Edad}^2\)
elsoc02$edad2 <- elsoc02$edad^2
fit06<- lm(partpol~sexo+edad+edad2+quintilemiss+pospol,data=elsoc02)
edad<- fit06$model$edad
fit<- fit06$fitted.values
data01 <- as.data.frame(cbind(edad,fit))

ggplot(data01, aes(x = edad, y = fit)) +
  theme_bw() +
  geom_point()+
  geom_smooth()
`geom_smooth()` using method = 'gam' and formula = 'y ~ s(x, bs = "cs")'

Efecto cuadrático de la edad (Modelo 5)
fit07 <- lm(partpol~sexo+edad+edad2+quintilemiss+pospol,data=elsoc02)
labs03 <- c("Intercepto","Sexo (mujer=1)","Edad",
            "Quintil 2","Quintil 3","Quintil 4","Quintil 5","Quintil perdido",
            "Izquierda (ref. derecha)","Centro","Idep./Ninguno", "Edad²")

htmlreg(list(fit05, fit06, fit07), doctype = FALSE,
        custom.model.names = c("Modelo 4", "Modelo 5", "Modelo 6"), 
          custom.coef.names = labs03)
Statistical models
  Modelo 4 Modelo 5 Modelo 6
Intercepto 7.05*** 7.62*** 7.62***
  (0.11) (0.24) (0.24)
Sexo (mujer=1) 0.07 0.08 0.08
  (0.05) (0.05) (0.05)
Edad -0.03*** -0.06*** -0.06***
  (0.00) (0.01) (0.01)
Quintil 2 0.11 0.11 0.11
  (0.08) (0.08) (0.08)
Quintil 3 0.34*** 0.34*** 0.34***
  (0.08) (0.08) (0.08)
Quintil 4 0.32*** 0.32*** 0.32***
  (0.08) (0.08) (0.08)
Quintil 5 0.57*** 0.57*** 0.57***
  (0.08) (0.08) (0.08)
Quintil perdido 0.31* 0.31* 0.31*
  (0.13) (0.13) (0.13)
Izquierda (ref. derecha) -0.65*** -0.65*** -0.65***
  (0.07) (0.07) (0.07)
Centro -0.71*** -0.70*** -0.70***
  (0.08) (0.08) (0.08)
Idep./Ninguno -1.14*** -1.13*** -1.13***
  (0.07) (0.07) (0.07)
Edad²   0.00** 0.00**
    (0.00) (0.00)
R2 0.18 0.19 0.19
Adj. R2 0.18 0.18 0.18
Num. obs. 3460 3460 3460
***p < 0.001; **p < 0.01; *p < 0.05

Test homogeneidad de varianza

car::ncvTest(fit06)
Non-constant Variance Score Test 
Variance formula: ~ fitted.values 
Chisquare = 521.5278, Df = 1, p = < 2.22e-16
lmtest::bptest(fit06)

    studentized Breusch-Pagan test

data:  fit06
BP = 385.59, df = 11, p-value < 2.2e-16

Tanto el test Breush-Pagan como el de Cook-Weisberg nos indican que existen problemas con respecto a homogeneidad en la distribución de los residuos del modelo debido a que \(p>0.05\) en ambos casos. Es decir, se rechaza \(H_0\) donde se asume que la varianza del error es constante, lo cual nos indica que tenemos problemas de heterocedasticidad en los residuos.

Para hacer frente a este problema, debemos calcular los errores estándar robustos para nuestra última estimación para corregir problemas de heterocedasticidad y así estimar el último modelo nuevamente:

model_robust<- coeftest(fit06, vcov=vcovHC)

Comparemos los resultados:

labs04 <- c("Intercepto","Sexo (mujer=1)","Edad",
            "Quintil 2","Quintil 3","Quintil 4","Quintil 5","Quintil perdido",
            "Izquierda (ref. derecha)","Centro","Idep./Ninguno", "Edad²")

htmlreg(list(fit05, fit06, model_robust), doctype = FALSE,
          custom.model.names = c("Modelo 5","Modelo 6", "M6 Robust"), custom.coef.names = labs04)
Statistical models
  Modelo 5 Modelo 6 M6 Robust
Intercepto 7.05*** 7.62*** 7.62***
  (0.11) (0.24) (0.27)
Sexo (mujer=1) 0.07 0.08 0.08
  (0.05) (0.05) (0.05)
Edad -0.03*** -0.06*** -0.06***
  (0.00) (0.01) (0.01)
Quintil 2 0.11 0.11 0.11
  (0.08) (0.08) (0.07)
Quintil 3 0.34*** 0.34*** 0.34***
  (0.08) (0.08) (0.08)
Quintil 4 0.32*** 0.32*** 0.32***
  (0.08) (0.08) (0.08)
Quintil 5 0.57*** 0.57*** 0.57***
  (0.08) (0.08) (0.09)
Quintil perdido 0.31* 0.31* 0.31**
  (0.13) (0.13) (0.12)
Izquierda (ref. derecha) -0.65*** -0.65*** -0.65***
  (0.07) (0.07) (0.09)
Centro -0.71*** -0.70*** -0.70***
  (0.08) (0.08) (0.09)
Idep./Ninguno -1.14*** -1.13*** -1.13***
  (0.07) (0.07) (0.08)
Edad²   0.00** 0.00**
    (0.00) (0.00)
R2 0.18 0.19  
Adj. R2 0.18 0.18  
Num. obs. 3460 3460  
***p < 0.001; **p < 0.01; *p < 0.05

Los resultados del modelo con errores estándar robustos nos indica que nuestras estimaciones son robustas a la presencia de heterocedasticidad en los residuos, debido a que la significancia de los coeficientes se mantiene si lo comparamos con el Modelo 6.

Multicolinealidad

car::vif(fit05)
car::vif(fit06)
                 GVIF Df GVIF^(1/(2*Df))
sexo         1.057775  1        1.028482
edad         1.012463  1        1.006212
quintilemiss 1.085365  5        1.008225
pospol       1.041316  3        1.006770
                  GVIF Df GVIF^(1/(2*Df))
sexo          1.058907  1        1.029032
edad         38.308809  1        6.189411
edad2        38.275011  1        6.186680
quintilemiss  1.087725  5        1.008444
pospol        1.042085  3        1.006894

Entonces, asumiendo que valores del VIF (Variance Inflation Factor) mayores a 2.5, vemos que en el modelo que no incorpora el término cuadrático de edad no tendríamos problemas de multicolinealidad. Sin embargo, al incorporar el término cuadrático, nos muestra un VIF de 6.2 en la variable edad y edad2.

Referencias

Darlington & Hayes 2016 Cap16 Detecting and Managing Irregularities

Darlington & Hayes 2016 Cap12 Nonlinear relationships